
无论是在中考还是高考,函数都是最重要的学习内容之一,特别是进入高中之后,教材增加了导数相关知识内容,让函数变得更加丰富多彩。因此,学好导数能帮助我们更好的掌握函数等其他知识内容,也能给解题带来更大的方便。
导数是研究函数性质的重要工具,又有着丰富的实际背景和广泛的应用,导数自然也是高考数学考查的热门之一,而其中微积分是导数最核心的内容,也是高考数学的考试要求。
认真分析历年全国各省市高考数学试卷,有考查导数基础知识的客观题,又有考查导数综合运用的解答题。在客观题中,试题主要涉及导数的计算、求曲线的切线、函数的单调区间与函数的极值等知识点的简单运用;在解答题中,试题更体现了对导数综合运用较高的能力要求。
导数的广泛应用为研究函数性质、函数图像开辟了新的捷径,成为联系函数与数列、不等式、圆锥曲线等问题的一条纽带。

函数f(x)在点x0处的导数f′(x0)的几何意义是在曲线y=f(x)上点(x0,f(x0))处的切线的斜率(瞬时速度就是位移函数s(t)对时间t的导数).相应地,切线方程为y-f(x0)=f′(x0)(x-x0).
已知函数f(x)=x3-3x及y=f(x)上一点P(1,-2),过点P作直线l,根据以下条件求l的方程.
(1)直线l和y=f(x)相切且以P为切点;
(2)直线l和y=f(x)相切且切点异于P.

导数的几何意义是切点处切线的斜率,应用时主要体现在以下几个方面:
(1)已知切点A(x0,f(x0))求斜率k,即求该点处的导数值:k=f′(x0);
(2)已知斜率k,求切点A(x1,f(x1)),即解方程f′(x1)=k;
(3)已知切线过某点M(x1,f(x1))(不是切点)求切点,设出切点A(x0,f(x0)).
导数作为研究函数问题的重要工具,常用来解决极值、最大(小)值、单调性等三类问题。在求解这些函数问题时,要结合导数的思想与理解性质的基础上,掌握用导数方法求解的一般步骤,归纳如下:
一、单调性相关的性质:
在某个区间(a,b)内,若f'(x)>0,则f(x)在这个区间内单调递增;若f'(x)<0,则f(x)在这个区间内单调递减。
用导数方法求解单调性的基本步骤:
①求f'(x);
②解f'(x)>0,得到增区间;解f'(x)<0得到减区间。

二、极值的相关性质:
设函数f(x)在点x0附近有定义,且若对x0,附近所有的点都有f(x)<(x0)(或f(x)>f(x0)),则称f(x0)为函数的一个极大(小)值,称x0为极大(小)值点。
用导数方法求解极值的基本步骤:
①求f'(x);
②解方程f'(x)=0;
③检查f'(x)在方程根左右的值的符号,若左正右负,则取极大值;如果左负右正,则取极小值;如果左右同号,则不取极值。
三、最值的相关性质:
若函数f(x)在[a,b]上单调递增,则f(a)为最小值,f(b)为最大值;若f(a)在[a,b]单调递减,则f(a)最大,f(b)最小。

用导数方法求解最值的基本步骤:
①求y=f(x)在(a,b)内的极值;
②将y=f(x)在各极值点的极值与f(a)、f(b)比较,其中最大的一个为最大值,最小的一个为最小值。
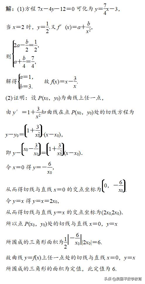
设函数f(x)=ax-b/x,曲线y=f(x)在点(2,f(2))处的切线方程为7x-4y-12=0.
(1)求f(x)的解析式;
(2)证明:曲线y=f(x)上任一点处的切线与直线x=0和直线y=x所围成的三角形面积为定值,并求此定值.

函数求导的原则:
对于函数求导,一般要遵循先化简,再求导的基本原则,求导时,不但要重视求导法则的应用,而且要特别注意求导法则对求导的制约作用,在实施化简时,首先必须注意变换的等价性,避免不必要的运算失误。
求导时应注意:
(1)求导之前利用代数或三角恒等变换对函数进行化简可减少运算量;
(2)对于商式的函数若在求导之前变形,则可以避免使用商的导数法则,减少失误。
证明不等式的方法有许多,导数作为研究一些不等式恒成立问题的工具,体现了导数应用上的新颖性以及导数思想的重要性。由导数方法研究不等式时,一般是先构造一个函数,借助对函数单调性或最大(小)值的研究,经历某些代数变形,得到待证明的不等式
导数思想方法具有程序化、易掌握的显著特点,它是一种有力的工具,可以作为解决函数的极值、单调区间、函数在闭区间上的最大(小)值等基本方法。我们要意识到导数工具的重要性,尽自己最大的努力去学好导数相关知识内容,为今后进一步学好高等数学打好基础。







